CRAN status CRAN downloads per month CRAN downloads total

Visualization and Polytomous Modeling of Survival and Competing Risks with Minimal Code — cifmodeling

Are you comfortable writing Surv(time, status) ~ strata but hesitant to dive into the Fine-Gray models or custom ggplot2 code? cifmodeling helps clinicians, epidemiologists, and applied researchers move from basic Kaplan-Meier curves to clear, publication-ready survival and competing risk plots – with just a few lines of R.

It provides a unified, high-level interface for survival and competing risks analysis, combining nonparametric estimation, regression modeling, and visualization. It is centered around three tightly connected functions:

Explore the main features visually:
See the Gallery for a curated set of examples using cifplot() and cifpanel().

Learn the modeling framework with polyreg():
See the Direct polytomous regression for coherent, joint modeling of all cause-specific CIFs.

Prefer to build intuition before diving into code?
Visit the Coffee and Research – Story and Quiz series for narrative-style introductions to study design, survival and competing risks analysis, and frequentist and causality thinking: https://gestimation.github.io/coffee-and-research/en/

Quick start

library(cifmodeling)
data(diabetes.complications)
cifplot(Event(t,epsilon)~fruitq, data=diabetes.complications, 
        outcome.type="competing-risk", panel.per.event=TRUE)
Aalen-Johansen cumulative incidence curves from cifplot()

Aalen-Johansen cumulative incidence curves from cifplot()

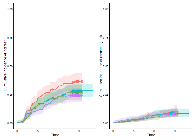
In competing risks data, censoring is often coded as 0, the event of interest as 1, and competing risks as 2. In the diabetes.complications data frame, epsilon follows this convention. With panel.per.event = TRUE, cifplot() visualizes both competing events, with the CIF of diabetic retinopathy (epsilon = 1) shown on the left and the CIF of macrovascular complications (epsilon = 2) on the right.

A workflow of competing risks analysis

Four code snippets illustrate how the three core functions interact with existing resources and analyze complex competing risks data:

We use the diabetes.complications data throughout, focusing on diabetic retinopathy (event 1) and macrovascular complications (event 2), with the level of fruit intake, low (Q1) and high (Q2 to 4), as the exposure (fruitq1).

CIF plot with competing-risk marks

The first snippet is plotting the CIF of diabetic retinopathy with marks indicating individuals who experienced macrovascular complications first (add.competing.risk.mark = TRUE). Here we show a workflow slightly different from the code at the beginning. First, the time points at which the macrovascular complications occurred were obtained as output1 for each strata using a helper function extract_time_to_event(). Then, cifplot() is used to generate the figure. The label.y, label.x, label.strata and limit.x arguments are also used to customize the labels and axis limits.

data(diabetes.complications)
output1 <- extract_time_to_event(Event(t,epsilon)~fruitq1, 
                                 data=diabetes.complications, which.event="event2")
cifplot(Event(t,epsilon)~fruitq1, data=diabetes.complications, 
        outcome.type="competing-risk",
        add.conf=FALSE, add.risktable=FALSE, add.censor.mark=FALSE,
        add.competing.risk.mark=TRUE, competing.risk.time=output1,
        label.y="CIF of diabetic retinopathy", label.x="Years from registration",
        limits.x=c(0,8), label.strata=c("High intake","Low intake"), 
        level.strata=c(0, 1), order.strata=c(0, 1))
Cumulative incidence curves with competing-risk marks

Cumulative incidence curves with competing-risk marks

IPW-adjusted CIF with cifplot() and CBPS()

In an observational study, it is necessary to adjust for confounders in order to compare fruit intake levels. In the next example, we obtain IPWs from CBPS() and draw adjusted CIFs. It is important to note that in IPW analysis, the SEs output in the unweighted analysis are not necessarily valid. Among the SE methods selectable in cifplot() (Aalen-, delta-, and influence-function-type), simulations by Deng and Wang (2025) have shown that the influence-function based SE performs well. This snippet displays valid CIs in the plot by specifying error=“if” and add.conf=TRUE.

if (requireNamespace("CBPS", quietly = TRUE)) {
 library(CBPS)

 output2 <- CBPS(
  fruitq1 ~ age + sex + bmi + hba1c + diabetes_duration + drug_oha + drug_insulin
   + sbp + ldl + hdl + tg + current_smoker + alcohol_drinker + ltpa,
  data = diabetes.complications, ATT=0
 )
 diabetes.complications$ipw <- output2$weights
 cifplot(Event(t,epsilon)~fruitq1, data=diabetes.complications, 
         outcome.type="competing-risk", weights = "ipw", 
         add.conf=TRUE, add.risktable=FALSE, add.censor.mark=FALSE,
         label.y="CIF of diabetic retinopathy", label.x="Years from registration",
         limits.x=c(0,8), label.strata=c("High intake","Low intake"), 
         level.strata=c(0, 1), order.strata=c(0, 1), error = "if")
} else {
 plot.new()
 text(0.5, 0.5,
 "Install the 'CBPS' package to run this example.",
 cex = 0.9)
}
Adjusted cumulative incidence curves with CIs based on influence functions

Adjusted cumulative incidence curves with CIs based on influence functions

Risk ratios for all competing events via polyreg()

We then fit polyreg() to estimate risk ratios for diabetic retinopathy and macrovascular complications, in a coherent joint model of all cause-specific CIFs at 8 years.

output3 <- polyreg(nuisance.model=Event(t,epsilon)~1, exposure="fruitq1", 
          data=diabetes.complications, effect.measure1="RR", effect.measure2="RR", 
          time.point=8, outcome.type="competing-risk")
summary(output3)
#> 
#>                       event1        event2      
#> ---------------------------------------------- 
#> fruitq1, 1 vs 0      
#>                       1.350         1.079       
#>                       [1.114, 1.637]  [0.682, 1.707]
#>                       (p=0.002)     (p=0.746)   
#> 
#> ---------------------------------------------- 
#> 
#> effect.measure        RR at 8       RR at 8     
#> n.events              279 in N = 978  79 in N = 978
#> median.follow.up      8             -           
#> range.follow.up       [0.05, 11.00]  -           
#> n.parameters          4             -           
#> converged.by          Converged in objective function  -           
#> nleqslv.message       Function criterion near zero  -

The summary() method prints an event-wise table of point estimates, CIs, and p-values. Internally, a "polyreg" object also supports the generics API:

Risk ratios over time with modelplot()

Finally, we repeat the model at multiple time points and use modelplot() to visualize how risk ratios evolve over follow-up. With generics-Compatible objects, polyreg() is integrated naturally with the broader broom/modelsummary ecosystem. For publication-ready tables, you can pass polyreg objects directly to modelsummary::msummary() and modelsummary::modelplot(), including exponentiated summaries (risk ratios, odds ratios, subdistribution hazard ratios) via the exponentiate = TRUE option.


if (requireNamespace("modelsummary", quietly = TRUE)) {
 library(modelsummary)
 output4 <- polyreg(nuisance.model=Event(t,epsilon)~1, exposure="fruitq1", 
                    data=diabetes.complications, effect.measure1="RR", effect.measure2="RR", 
                    time.point=2, outcome.type="competing-risk")
 output5 <- polyreg(nuisance.model=Event(t,epsilon)~1, exposure="fruitq1", 
                    data=diabetes.complications, effect.measure1="RR", effect.measure2="RR", 
                    time.point=4, outcome.type="competing-risk")
 output6 <- polyreg(nuisance.model=Event(t,epsilon)~1, exposure="fruitq1", 
                    data=diabetes.complications, effect.measure1="RR", effect.measure2="RR", 
                    time.point=6, outcome.type="competing-risk")
 summary <- list(
  "RR of diabetic retinopathy at 2 years" = output4$summary$event1, 
  "RR of diabetic retinopathy at 4 years" = output5$summary$event1, 
  "RR of diabetic retinopathy at 6 years" = output6$summary$event1, 
  "RR of diabetic retinopathy at 8 years" = output3$summary$event1,
  "RR of macrovascular complications at 2 years" = output4$summary$event2, 
  "RR of macrovascular complications at 4 years" = output5$summary$event2, 
  "RR of macrovascular complications at 6 years" = output6$summary$event2, 
  "RR of macrovascular complications at 8 years" = output3$summary$event2
 )
 modelplot(summary, coef_rename="", exponentiate = TRUE)
} else {
 plot.new()
 text(0.5, 0.5,
 "Install the 'modelsummary' package to run this example.",
 cex = 0.9)
}
Visualizaton of risk ratios at 2, 4, 6 and 8 years using polyreg() and modelplot()

Visualizaton of risk ratios at 2, 4, 6 and 8 years using polyreg() and modelplot()

Why cifmodeling?

In clinical and epidemiologic research, analysts often need to handle censoring, competing risks, and intercurrent events (e.g. treatment switching), but existing R packages typically separate these tasks across different interfaces. cifmodeling provides a unified, publication-ready toolkit that integrates nonparametric estimation, regression modeling, and visualization for survival and competing risks data. The tools assist users in the following ways:

Position in the survival ecosystem

Several excellent R packages exist for survival and competing risks analysis. The survival package provides the canonical API for survival data. In combination with the ggsurvfit package, survival::survfit() can produce publication-ready survival plots. For CIF plots, however, integration in the general ecosystem is less streamlined. cifmodeling fills this gap by offering cifplot() for survival/CIF plots and multi-panel figures via a single, unified interface.

Beyond providing a unified interface, cifcurve() also extends survfit() in a few targeted ways. For unweighted survival data, it reproduces the standard Kaplan-Meier estimator with Greenwood and Tsiatis SEs and a unified set of CI transformations. For competing risks data, it computes Aalen-Johansen CIFs with both Aalen-type and delta-method SEs. For weighted survival or competing risks data (e.g. inverse probability weighting), it implements influence-function based SEs (Deng and Wang 2025) as well as modified Greenwood- and Tsiatis-type SEs (Xie and Liu 2005), which are valid under general positive weights.

If you need very fine-grained plot customization, you can compute the estimator and keep a survfit-compatible object with cifcurve() (or supply your own survfit object) and then style it using ggsurvfit/ggplot2 layers. In other words:

The causalRisk package offers IPW-based estimation of counterfactual cumulative risks and hazards. It is most relevant when treatment, censoring, and missingness mechanisms must be modeled explicitly. In contrast, cifmodeling focuses on nonparametric estimation and direct CIF regression rather than structural causal models.

The mets package is a more specialized toolkit that provides advanced methods for competing risks analysis. cifmodeling::polyreg() focuses on coherent modeling of all CIFs simultaneously to estimate the exposure effects in terms of RR/OR/SHR. This coherence can come with longer runtimes for large problems. If you prefer fitting separate regression models for each competing event or specifically need the Fine-Gray models (Fine and Gray 1999) and the direct binomial models (Scheike, Zhang and Gerds 2008), mets::cifreg() and mets::binreg() are excellent choices.

In short, cifmodeling provides a unified high-level grammar for estimation, visualization, and direct CIF regression — something no existing package currently offers in one place.

Interested in the precise variance formulas and influence functions for the Aalen-Johansen estimator?
Visit Computational formulas in cifcurve().

Function cifmodeling survival cmprsk mets ggsurvfit
AJ estimator Yes Yes (multistate survfit) Yes (cuminc) Yes Depends on input
Weighted AJ estimator and valid SE Yes (IPW + IF-based SE) Yes (case weights / robust SE) No Yes (IPW + IF-based SE) Depends on input
Gray test No No (only log-rank via survdiff) Yes (cuminc) No tidycmprsk::glance() + add_pvalue()
Fine–Gray model No finegray+coxph crr cifregFG No
Direct CIF regression polyreg No No cifreg, binreg No
Surv()/Event() interface Yes (Event, Surv) Yes (Surv) No (ftime/fstatus) Yes (Event, Surv) Yes (Surv, ggcuminc + tidiers)
Publication-ready survival/CIF plot Yes (cifplot, cifpanel) plot (base) plot.cuminc (base) plot (base) Designed for publication
Support for tidy/glance/augment Yes (polyreg + methods) Yes (via broom) Yes (via tidycmprsk) No Yes (via broom)

Installation

The package is implemented in R and relies on Rcpp, nleqslv and boot for its numerical back-end. The examples in this document also use ggplot2, ggsurvfit, patchwork and modelsummary for tabulation and plotting. Install the core package and these companion packages with:

# Install cifmodeling with core dependencies
install.packages(c("cifmodeling", "Rcpp", "nleqslv", "boot"))

# Recommended packages for plotting and tabulation in this README
install.packages(c("ggplot2", "ggsurvfit", "patchwork", "modelsummary"))

Quality control

cifmodeling includes an extensive test suite built with testthat, which checks the numerical accuracy and graphical consistency of all core functions (cifcurve(), cifplot(), cifpanel(), and polyreg()). The estimators are routinely compared against related functions in survival, cmprsk and mets packages to ensure consistency. The package is continuously tested on GitHub Actions (Windows, macOS, Linux) to maintain reproducibility and CRAN-level compliance.